|

Indledning
Opgave
definition
Præcisionsnivellement af
område Ved Horsens centrum og havn
I forbindelse med overvågning
af sætninger i det centrale Horsens ønskes en række
højdefikspunkter målt ved hjælp af et
præcisionsnivellement. Punkternes kote sammenholdes
med koterne på Valdemar og de tidligere nivellerede koter
til punkterne.
Resultatet afleveres som en
graf indeholdende alle punkternes koter i DVR90 fra Valdemar, fra
det tidligere udførte nivellement samt de nymålte
Sætninger.
Opgaven vurderes at tage ca. 3
dage inklusiv undervisning og vejledning.
Handlingsplan
verifikation
Inden vi gik til
præcisionsnivellement lavede vi en verifikation af
nivelleringsinstrument, dette foregår ved at lave en
opstilling midt i mellem to punkter og måle til begge to,
derefter stilles instrumentet op bagved ved et af punkterne og
måler igen til begge punkter. Herefter skal de to
resultaters differencer trækkes fra hinanden. Dette skal
ikke være mere end 1 til 3mm.
Herunder eksempel
på kontrol af nivellement:

Opstilling a :
aflæsning pkt1=1.130m pkt2=1.100m
Opstilling b :
aflæsning pkt1=1.085m pkt2=1.054m
Resultatet af
dette giver:
1.130m -1.085m =
0,045m
1.100m -1,054m =
0,046m
afvigelsen er
hermed beregnet til 1mm hvilket er inden for tilladt grænse.
Vi skal også være
opmærksomme på at dåselibellen spiller ind, så
instrumentets vertikalakse er lodret og sigtelinjen er vandret. Vi
skal også vide at det er to typer af nivellement,
præcisionsnivellement og teknisknivellement.
Præcisionsnivellement
kan have til formål at bestemme koter til fikspunkter i
geodætisk net. Dette nivellement udføres over store
afstande og der stilles særlige krav til instrumenter, samt
observationsmetoder for at opnå den bedst mulige
nøjagtighed. Præcisionsnivellement benyttes også
til at bestemme lodrette deformationer på bygningsværker.
Teknisk nivellement
anvendes til fastlæggelse af koter i et teknisk net og
tekniske kort. Det anvendes til måling af terræn
koter, der skal danne grundlag for jordarbejde, og til alle former
for afsætningsarbejde på byggepladser.
Opmålingen
Forberedelse
Fra Robert jacobsens webside
fik vi et kort over Højdefikspunkter i Horsens centrum
SE KORT

Derefter brugte vi Valdemar
fra Kort og matrikelstyrelsens webside til at få en
fikspunktbeskrivelse med koter i DVR90.
Vi har også fået
undervisning i aflæsningen af Invarstadiet og brug af
planplade mikrometret, plus fejlteori.
Vi var enige om efter et kort
gruppemøde, at vi ville lave opmålingen på en
vindstille dag, da for meget vind kan påvirke aflæsning
på stadiet. Derudover ville vi opmåle i to grupper med
hensyn til tiden.
Opmåling og beregning
Først lavede vi en
kontrol måling af instrument. Derefter ledte vi efter
højdefikspunkterne ved hjælp af vores
fikspunktsbeskrivelser fra Valdemar. Så var vi klar og
startede opmåling fra to forskellige steder i Horsens med
planer om at møde hinanden midtvejs.
Målingen foregik meget
udramatisk men det tog lidt tid at komme ind I rutinen med at
aflæse begge sider af stadiet. Som kontrol efter hver
aflæsning trækker vi højre og venstre
aflæsningerne fra hinanden. Resultatet skal give 3,035m. Det
må max. afvige 0,002m.
Derudover skal afstandene til
stadiet I tilbage og fremsigtet sigterne være den samme +-
20 cm. Afstandene målte vi med måleband.

Vi har indtastet aflæsning
i Excel, hvorefter vi har beregnet kote til Højdefikspunkterne.
Vi valgte at fastholde koten på Vor Frue Kirke (9261) idet
der vurderes, at punktet er det mest stabile.
SE RENSKREVET EXL
ARK

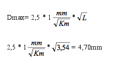
Kilometermiddelfejl
I
forbindelse med vores nivellement skal der kontrolleres hvorvidt
vores måling overholder den nøjagtighed der ønskes.
Derfor skal der beregnes en kilometermiddelfejl på
nivellementet. Det vil sige hvor stor en middelfejl det sidste
punkt på strækningen skal have for at kunne
dokumentere at målingen overholder nøjagtigheden.
Hvis vi fx måler en sætning på 2 mm, men har en
middelfejl på 4 mm, kan vi ikke udtale os om der er tale om
sætning, da resultatet er mindre end den forventede
nøjagtighed.

Derefter sammenlignede vi
vores kote i forhold til de officielle koter i DVR90, samt de af
KLT studerende I årene 2006, 2007, 2008, tidligere udførte
nivellementer.
SE GRAF

Konklusion
Vi fik beregnet koter til
højdefikspunkterne inden for tidsrammen.
Punkt 9355, 9357, 9216 kunne
vi ikke finde, men for at præsentere dem i grafen, fik de en
værdi af 0,0. Punkt 9214 har en højdeforskel på
-12cm hvilket tilsyneladende skyldes hærværk eller
renovering af facaden. Ifølge fixpunktsbeskrivelsen er
opgivet en højde over terræn på 40 cm
SE BILLEDE AF PKT
9214

Da vi ved et senere højdepunkt
har en meget mindre afvigelse på koten er vi overbevist om
at punkt 9214 er flyttet.
Punkt 9221er det
sidste punkt i vores nivellement og her har vi målt en
sætning på 2,0 mm.
Vi
kan ud fra vores beregnede kilometermiddelfejl på 4,70mm
sige at den måling vi udførte overholder
nøjagtigheden der forventes af det præcisions
nivellement og vi er meget tilfredse med resultatet.
Bilag
og Udstyr
Bilag ligger som links i
rapporten
Kms webside.
Resources :
M.S Word
M.S Excel
Udstyr.
Skildpadder
Carl Zeiss Ni2 præcisions
nivelleringsinstrument med påmonteret plade mikrometer
Invarstadie
Målebånd
Målebog
Lommeregner
Udført
4 december 2009 af Jesper Jensen, Filip Øbro John Blyth og
Thomas Kildegaard
|